
那么,無功電流是怎么來的哪?它又能起到什么作用哪?大伙都知道電爐子,加熱器,別管怎么連,屬于純阻性負載,電壓與電流在相位上不存在超前與滯后關系,所以,在電壓作用下,所產生的電流就是有功電流,所以,從方向上來講,有功是單相的,由電源指向負載。
若把電爐子換成電感,就成了純感性,電壓超前電流90°,這就一前一后的關系,且正好差半個周期,如下圖:

功率就出現了正負兩種關于,電壓正,電流負時,功率為負,電壓正,電流也為正時,功率為正,以此類推,才有了上面A、B、C、D四個區域。如此看,從方向上考慮,無功功率是雙向的,為正,電源指向負載,為負,則由負載指向電源,如此的一個過程。無功能量是電源與電感負載之間的能量交換,但要明確一點,這個電流是確確實實存在的。
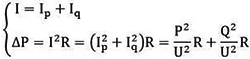
既然存在,且需要從導體當中通過,那么,這個電流就會在導體當中產生熱量,有能量損失,這個能量損失的大小就等于I2R,R指的是導體電阻,I為無功電流,記為Iq。既然有了損失,那么,就需要補償,也就是平時所說的無功補償。
順便捎帶一句,在純電容電路中也同樣如此。
那么,在純電感電路中再串一個電阻呢?這就出現了有功電流與無功電流,也就出現了功率因數,有功功率角為cosθ,無功功率角為sinθ,在相位關系上,有功電流為Icosθ,無功電流為Isinθ。如下圖:

電阻消耗了電源的有功,而電感則在一周期的某段時間內吸收電源能量,在其它時間內向電源及負載釋放能量,本身并不消耗能量。所以無功功率表征了電源和電感之間交換能量的幅度和規模。
但不要忽略一點,在實際的電路中,導線是有電阻的,能量來回交換時,無功電流同樣會時電路發熱,進而增加線損。

如何去認識并理解無功,有時候是比較重要的,最重要的還是補償,如何去補償,補償多少量,可以看看昌暉儀表網關于無功補償的相關技術文章。
作者:電氣星辰
