提起相量圖,是不是也挺煩它哪?反正筆者是經過了好長時間的思想斗爭,就跟剛開始接觸三視圖一樣,就是形不成一種固定的思維模式,不知道在讀的你是不是也有跟筆者有相同的經歷。

后來,經歷的多了,也就慢慢掌握了,可見,有些時候,要掌握一點東西,還需要一定時間沉淀的。不過,現在再體會起來,相量圖還是非常重要的,它能直觀地反映出各個量之間的大小與方向,以及它們之間的對應關系。

要畫好、看懂相量圖,首先需要掌握一個元件電壓與電流的關系,比如純電阻電路,電壓與電流同相,純電感電路,電壓超前電流90°,純電容電路,電流超前電壓90°,感性電路,電壓超前電感θ角,容性電路,電流則超前電壓θ角。如此,針對一個元件,它的電壓與電流的相位關系就會有一個大致的輪廓。

再者,要清楚理解+j與-j的關系。j只是一個標識方向的符號,+j表示超前90°,-j表示滯后90°,但不管是超前,還是滯后,都會有一個基準值,就是以誰為基準超前或滯后90°。這也是要說的第三條原則,選擇基準相量,合二為一。在相量圖中,逆時針方向為超前,順時針方向為滯后。
再就是正負相量的關系,同一相量的正負關系,表示的就是大小相等,方向相反。
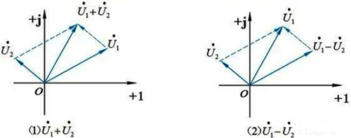
相量的加減運算滿足平行四邊形法則,收尾相接為加,反方向為相減,這一點也比較重要,但基本上都會。
最后一點,就是不同量之間的相量關系,滿足一定關系,可以畫在一張相量圖當中,比如變壓器中的感應電勢與磁通,電源電壓與勵磁電流等,可以在一張示意圖中加以展示。

理解了這幾點,畫出相量圖,正確讀懂相量圖,也都不是什么難事。
作者:電氣星辰
