本文在0-429.527℃溫度范圍內以一等標準鉑電阻溫度計檢定二等標準鉑電阻溫度計為例來分析標準鉑電阻溫度計在水三相點、鋅凝固點、錫凝固點的測量結果不確定度。
標準鉑電阻溫度計是傳遞-189.3442℃~660.323℃溫度范圍內國際溫標的內插儀器,0-429.527℃溫度范圍是經常使用的溫度范圍。二等標準鉑電阻溫度計在很多企業、事業單位特別是計量、電力、熱工等行業被廣泛應用,其準確可靠甚為重要,本文以一等標準鉑電阻溫度計檢定二等標準鉑電阻溫度計為例來分析標準鉑電阻溫度計的測量結果不確定度。
標準鉑電阻溫度計在0-429.527℃溫度范圍的檢定工作是在三個固定點中進行的,這三個固定點分別為:水三相點、錫凝固點、鋅凝固點。水三相點是國際溫度定義的固定點,其測量的電阻值即為該溫度點的測量結果;而其它固定點的測量結果是用W=f(R,Rtp)=R/Rtp表示的,與水三相點的電阻值有關,其測量結果不確定度分量與水三相點的不確定度分量是不一樣的。本文對二等標準鉑電阻溫度計的測量結果不確定度評定分為:水三相點的標準不確定度評定與其它固定點的標準不確定度評定。
水三相點的標準不確定度評定
水三相點是國際溫度定義的固定點,其測量值即為其測量結果。
1、二等標準鉑電阻溫度計在水三相點測量的標準不確定度
①二等標準鉑電阻溫度計在水三相點分度的復現性u1
二等標準鉑電阻溫度計在水三相點檢定過程中,受電測儀器噪聲的影響以及復現過程的不重復性,二等標準鉑電阻溫度計的短期不穩定性等因素,會導致溫度計在水三相點的不確定度,根據反復測量多支溫度計檢測數據的統計,二等標準鉑電阻溫度計在水三相點的短期復現性為0.5mK,則A類標準不確定度u1=0.5mK。
②二等標準鉑電阻溫度計在測量時的自熱影響u2
溫度計在測量時,通過的電流為1mA,通過對多支溫度計自熱的測量數據外推和不外推的結果比較與統計,自熱效應引起的標準不確定度為u2=0.30mK。
2、水三相點本身引起的標準不確定度可分為以下三部分:
①水三相點容器本身通過比對可產生0.3mK的誤差,取均勻分布,則由此引起的標準不確定度為:

②由一等標準電阻溫度計在水三相點分度可產生0.5mK的誤差,取均勻分布,則由此引起的標準不確定度為u4=0.29mK。
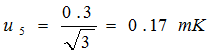
③由測量設備的擴展不確定度引起水三相點測量的標準不確定度u5
測量二等鉑電阻溫度計的電測設備一般是測溫電橋及配套標準電阻,電橋的不確定度,測量時標準電阻溫度變化,各類電干擾以及人員讀數誤差都會影響水三相點溫度,約為0.3mK,取均勻分布,由此引起的標準不確定度為:

3、合成標準不確定度及擴展不確定度評定
①合成標準不確定度及有效自由度計算
由于各標準不確定度分量彼此不相關,故合成標準不確定度

②確定擴展不確定度
確定擴展不確定度U=kuc,取k=2,U=1.4mK。
其它固定點的的標準不確定度評定
在確定固定點測量值時,通常使用的裝置有固定點容器,控溫定點爐,水三相點容器以及電測設備等,它們都會對測量產生影響,下面是鋅凝固點各因素對WZn的擴展不確定度的影響。
1、鋅凝固點的標準不確定度評定
①測量數學模型、靈敏系數及合成方差
根據ITS-90溫標定義,在鋅凝固點測量結果表示為WZn,
WZn=f(RZn,Rtp)=RZn/Rtp ---------------------公式1。公式1中:RZn為一等鉑電阻溫度計在鋅凝固點測得的電阻值;Rtp為一等鉑電阻溫度計鋅凝固點測量后用同一臺電測設備在水三相點測得的電阻值。
對公式1全微分可得
-----------------公式2。 將公式2等式兩邊同時除以dWZn/dt,變化后可以得到:
------------------------------公式3。 公式3中,h=WZn×dWtp/dt]/[dWZn/dt]
由于鋅凝固點與水三相點的測量互不相關,其合成方差為:

靈敏系數:c1=1,c2=h=2.9
②二等標準鉑電阻溫度計在鋅凝固點測量的標準不確定度
a、溫度計在鋅凝固點分度的復現性u1
二等標準鉑電阻溫度計在鋅凝固點檢定過程中,受電測儀器噪聲的影響以及復現過程的不重復性,水三相點不重復性,溫度計的短期不穩定性等因素,會導致溫度計在鋅凝固點測量的不確定度,根據反復測量多支溫度計檢測數據的統計,二等標準鉑電阻溫度計在鋅凝固點的短期復現性為1.8mK,則A類標準不確定度u1=1.8mK。
b、溫度計在測量時的自熱影響u2溫度計在測量時,通過的電流為1mA,檢定結果通常不外推零電流,通過對多支溫度計自熱的測量數據外推和不外推的結果比較與統計,自熱效應引起的標準不確定度為u2=0.55mK。
③由凝固點裝置帶來的標準不確定度
a、鋅凝固點容器引起的標準不確定度u3
固定點容器所使用的純金屬中所含的雜質,充入氣壓不準以及靜壓修正量不準都會對凝固點溫度產生影響,我們使用FLUKE公司的固定點裝置,容器是密封的,金屬不易受污染及氧化,長期穩定性好,可以作為工作基準溫度計考核容器,相差約在2mK以內,取均勻分布,則由容器本身帶來的標準不確定度為

b、由一等標準鉑電阻溫度計帶來的標準不確定度u4
在二等標準鉑電阻溫度計裝置鋅容器的使用中,用已分度的一等標準鉑電阻溫度計進行考核。上級檢定一等標準鉑電阻溫度計在鋅凝固點的擴展不確定度U=4.4mK,k=2,其標準不確定度為u4=2.2mK。
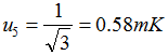
c、檢定時凝固點溫坪的影響u5
定點爐溫度設定,溫場波動,熱傳導等因素會對凝固點溫坪質量產生1mK的影響,考慮均勻分布,由此引起的標準不確定度為
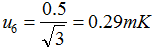
d、由測量設備的擴展不確定度引起鋅凝固點測量的標準不確定度u6
測量二等鉑電阻溫度計的電測設備一般是測溫電橋及配套標準電阻,電橋的不確定度,測量時標準電阻溫度變化,各類電干擾以及人員讀數誤差都會影響鋅凝固點溫度,約為0.5mK,取均勻分布,由此引起的標準不確定度為

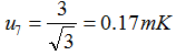
④由水三相點本身引起的標準不確定度
由于水三相點瓶中微量殘余氣體,水中雜質、水分子中氫與氧同位素成分的影響,靜壓力修正不準、分度、傳遞誤差等原因,都會引起實際的溫度與理想的水三相點溫度的偏離。水三相點本身引起的標準不確定度可分為以下兩部分:
a、三相點容器本身通過比對可產生0.3mK的誤差,取均勻分布,則由此引起的標準不確定度為:

b、由一等標準電阻溫度計在水三相點分度可產生0.5mK的誤差,取均勻分布,則由此引起的標準不確定度為u8=0.29mK。
⑤合成標準不確定度及擴展不確定度評定
a、合成標準不確定度及有效自由度計算由于各標準不確定度分量彼此不相關,故合成標準不確定度

b、確定擴展不確定度確定擴展不確定度U=kuc,取k=2,U=6.8mK。
2、錫凝固點的擴展不確定度評定
表1列出了二等標準鉑電阻溫度計在鋅凝固點、錫凝固點的各標準不確定度分量、合成不確定度及擴展不確定度。
表1 二等標準鉑電阻溫度計在鋅凝固點、在錫凝固點不確定度一覽表
序號 不確定度分量來源ui 類別 靈敏系數 鋅凝固點ui(mK) 靈敏系數 錫凝固點ui(mK)
1 鋅凝固點分度的復現性 A c1=1 1.8 c1=1 1.0
2 自熱效應引起的 A c1=1 0.55 c1=1 0.45
3 鋅凝固點容器引起的 B c1=1 1.2 c1=1 0.87
4 由一等標準傳遞引起的 B c1=1 2.2 c1=1 1.5
5 凝固點溫坪的影響 B c1=1 0.58 c1=1 0.58
6 電測設備引起的 B c1=1 0.29 c1=1 0.29
7 水三相點容器引起的 B c2=2.9 0.17 c2=2.0 0.17
8 由一等標準傳遞引起的 B c2=2.9 0.29 c2=2.0 0.29
9 合成標準不確定度 3.4 2.4
10 擴展不確定度 6.8,k=2 4.8,k=2
作者:河南省計量科學研究院 吳勤
