與用伏安法測量電阻值的情況相比,電橋法具有明顯的優勢。電橋法將對電參數(電壓、電流和電阻)的測量轉換為對參數的平衡檢測,而平衡檢測對電阻值的變化很敏感,電橋電源電壓值的變化不會直接影響測量結果,所以,其測量結果的準確度比較高。在測量標準鉑電阻溫度計等對準確度要求非常高的阻值時,主要是用測溫電橋測量。目前,使用頻率較高的儀器是直流測溫電橋、交流電流比較儀測溫電橋和直流電流比較儀測溫電橋。
1、直流測溫電橋
1.1 工作原理
直流測溫電橋分為單電橋(惠斯通電橋)和雙電橋(開爾文電橋)2種。 單電橋用于測量1×102~1×106Ω范圍內、阻值較高的電阻,而雙電橋則可以消除被測電阻引線對其的影響,用于測量100Ω以下、阻值較低的電阻。

圖1 電橋工作原理圖
直流測溫電橋又被稱為史密斯電橋,其工作原理如圖1所示。圖中S為比較臂,固定電阻;R為比較臂,固定電阻;b為比較臂,固定電阻;Q為比較臂,固定電阻;a為可調電阻,與Q臂聯動(a=aQ+a’=Q+a’);P為標準鉑電阻溫度計(SPRT);L1、L2、L3、L4為標準鉑電阻溫度計的4條引線 。
1.2 使用時的注意事項
使用直流測溫電橋時,要注意以下3點:
①溫度的變化會導致各橋臂的電阻值發生變化,而且無法修正。因此,要在規定的溫度、濕度環境中使用該儀器,使基本誤差符合相關規定。
②為了減小引線電阻造成的誤差,連接導線應盡可能短而粗。在此過程中,要將各接線端子擰緊,避免接觸電阻不穩定而造成電橋的不穩定。
③為了減小電測系統誤差值及其對標準鉑電阻溫度計穩定性的影響,在實際測溫前,要在凍制好的水三相點瓶中實測標準鉑電阻溫度計的水三相點值。
2、交流電流比較儀測溫電橋
2.1 工作原理
交流電流比較儀測溫電橋是一種比較式儀器,根據比例臂的構成情況,可以將其分為阻抗比電橋和變壓器電橋。用2個阻抗構成的比例臂可稱為阻抗比例器式電橋,簡稱“阻抗比電橋”;如果將感應式電壓比例器作為比例臂,則可將其稱為“變壓器電橋”。由于其匝數比準確、穩定,所以,高精度的交流測溫電橋屬于變壓器電橋。
雖然交流電流比較儀測溫電橋的線路與直流單臂電橋的線路結構、形式相同,但是,因為它的4個臂是阻抗,所以,它的平衡條件、線路組成和實現平衡的調整過程都比直流測溫電橋復雜。
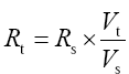
交流電流比較儀測溫電橋可以在25Hz(工頻為50Hz時)或30Hz(工頻為60Hz時)的低頻率下工作。在工作過程中,它主要測量被測電阻兩端的電壓值和1個穩定的內置參考電阻或外置參考電阻兩端的電壓值,而測得的電壓值與被測電阻值有一定的比例關系。這時,利用公式(1)可以計算被測熱電阻的阻值,即:
公式中:Rt為被測電阻;Rs為內置參考電阻或外置參考電阻;Vt為被測電阻兩端的電壓值;Vs為內置參考電阻或外置參考電阻兩端的電壓值。
交流電流比較儀測溫電橋可以消除時間變化造成的溫度漂移,因為它不受電壓測量增益變化和電源波動的影響。另外,它還可以消除其他熱電勢,比直流測溫電橋的穩定性更高。
2.2 準確度高的原因
直流測溫電橋操作簡單,所需費用也比較少。但是,交流電流比較儀測溫電橋的測量技術比較先進,所以,常常被用于對測量準確度要求比較高的場合。交流電流比較儀測溫電橋利用比率變換器和電源頻率抑制技術能夠消除熱電動勢對其的影響,其噪聲抑制性能較好,響應速度快,預熱時間短。
3、直流電流比較儀測溫電橋
直流電流比較儀測溫電橋的測量誤差取決于若干個電阻比,其電阻比的穩定性和溫度系數可以達到10-6數量級,而直流測溫電橋的電阻比和溫度系數可以達到10-5數量級。但是,如果要想再提高其數量級,技術難度比較高。
DCC電阻橋即為Direct Current Comparator Resistance Bridge的縮寫,中文翻譯成直流電流比較儀測溫電橋。電流比較儀最開始是交流式的,后來才逐漸發展為直流式的,而現在對比精度最好、計量界用的最廣的比較儀就是直流的。
DCC電阻橋的工作取決于變壓器磁芯的安匝平衡,它與補償法直流電流鉗表或隔離傳感器的工作原理相似。也就是說,電阻值比等于磁芯匝數之比。由于磁芯匝數是不變的,因此,Rt和Rs的比例也可以精準測定。
DCC電阻橋具有分辨率高、線性度好、指標永久的特點,適用于小阻值的測試、對比工作中。當Rs為1Ω、10Ω、100Ω和1000Ω時,Rt的滿度是Rs的11倍,即允許實現1:10的直接對比,而且還可以實現不同10進之間標準電阻的傳遞。
另外,DCC電阻橋可以測試任意阻值,而且比率真實、可靠,不會改變(變壓器的匝數不會因為時間而變化)。同時,還可以進行1:10的直接傳遞對比(現代DCC電阻橋甚至可以直接進行1:100的直接對比),這就奠定了DCC電阻橋的地位。當電阻標準進入量子霍爾電阻(QHR)時代后,DCC電阻橋的這種特性很快被用于從霍爾電阻到常規電阻的過渡傳遞中。這些年來,DCC電阻橋也在不斷發展,例如自動化、量程擴展、精度提高、大電流應用等,它在高精度電阻計量中較為突出。
4、結束語
綜上所述,在電學、溫度等計量實驗室建標或更新電測標準設備時,應清楚被檢計量器具的使用范圍及其特性,充分了解各種測量電橋的技術優勢和性能,以獲得最優的方案。
推薦閱讀
溫度計量配套設備之測溫電橋
文章作者:天津市寧河縣市場和質量監督管理局 周春明、天津市河西區計量檢定所 周健、天津市計量監督檢測科學研究院 馬寧。
